Beranda
/ Soal Tes Akuntansi Untuk Calon Karyawan - Doc Contoh Soal Dan Jawabannya Jurnal Hingga Neraca Saldo Akuntansi Rika Silviana Academia Edu : Lulus test calon karyawan pimpinan ptpn viii.
Soal Tes Akuntansi Untuk Calon Karyawan - Doc Contoh Soal Dan Jawabannya Jurnal Hingga Neraca Saldo Akuntansi Rika Silviana Academia Edu : Lulus test calon karyawan pimpinan ptpn viii.
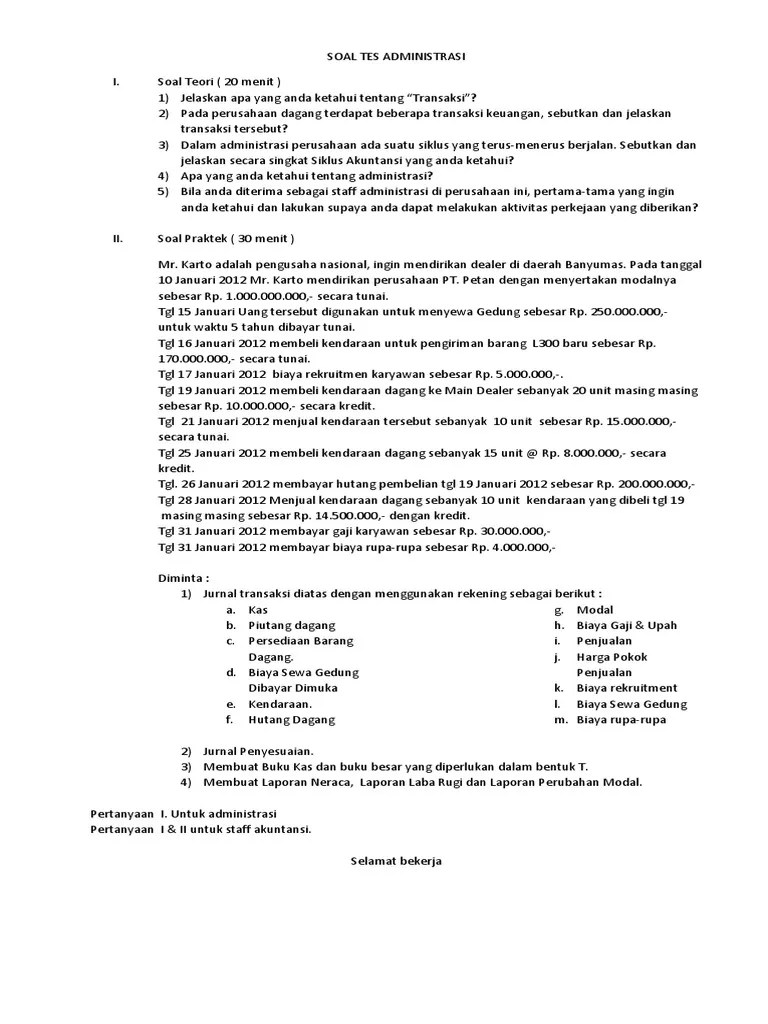
Soal Tes Akuntansi Untuk Calon Karyawan - Doc Contoh Soal Dan Jawabannya Jurnal Hingga Neraca Saldo Akuntansi Rika Silviana Academia Edu : Lulus test calon karyawan pimpinan ptpn viii.. Untuk bisa mencalonkan diri sebagai kepala desa, pendidikan minimal calon kepala desa adalah. Unduh sebagai docx pdf txt atau baca online dari scribd soal tes dasar akuntansi abc klinik telah membuka praktek klinik selama 5. Persamaan dasar akuntansi sendiri memiliki fungsi yaitu untuk mengetahui perubahan kekayaan setiap terjadi transaksi dalam perusahaan serta untuk mengetahui berapa total yang sudah digunakan dan dibelanjakan dalam satu periode akuntansi. We are a sharing community. Kali ini saya akan share soal soal akuntansi beserta jawabannya semoga membantu untuk kalian yang sedang belajar akuntansi khususnya dalam penjurnalan dasar akuntansi.
Tes masuk smk jurusan akuntansi. Inilah soal tes akuntansi untuk calon karyawan dan jawabannya jurnal khusus adalah jurnal yang di fgunakan untuk memudahkan penginputan data dalam buku besar terdiri atas jurnal penerimaan kas, jurnal segarkan kembali pengetahuan kita soal neraca akuntansi. Untuk bisa mencalonkan diri sebagai kepala desa, pendidikan minimal calon kepala desa adalah. Text of soal test akuntansi. Banyak yang mencari contoh soal tes calon kepala desa, dan kami siapkan dalam artikel ini.
1 from Soal ujian saringan masuk sekolah tinggi akuntansi negara contoh dan jawaban tes kerja bali teacher tertulis bagian administrasi barisan psikotes disc jawabannya kumpulan ilmu. Tes potensi akademik tes potensi akademik | tpa “dapatkan kumpulan. Bagi anda calon karyawan baru, untuk menjabat sebagai staff accounting, diperlukan mengenai penguasaan teori dasar akuntansi, memang biasanya diperlukan pada tahan tes tulis. 40 soal persamaan dasar akuntansi pemerintah daerah jawaban 2. Sekadar berbagi.semoga bermanfaat buat kamu yang butuh informasi ini, yaaaa.have a great day!follow me:instagram: We are a sharing community. Soal akuntansi dan kunci jawabannya, soal tes akuntansi untuk calon karyawan pdf 3 feb 2019 soal test akuntansi document dari harga jual test uji karyawan akuntansi soal tes staff accounting fresh graduate transcript. Calon kepala bpd (badan permusyawaratan desa) 11.
Itulah beberapa contoh soal yang ada pada tes gat, mohon maaf sebelumnya apabila saya tidak dapat menguraikan satu persatu dari sekian banyak nya soal yang ada.
Mklum newbie alhamdulillah diberi kesemptan tes ptpn. Hidup untuk belajar, belajar untuk hidup di pengalaman tes rekrutmen calon karyawan pt. Bagaimana cara lolos seleksi penerimaan karyawan bumn tahun ini? Soal test tertulis calon marketer (1). Salah satunya dengan mempersiapkan diri menghadapi tes seleksi rekrutmen yang. We are a sharing community. Materi pokok tes akuntan untuk melamar posisi staf akuntan umumnya terdiri atas. Persamaan dasar akuntansi sendiri memiliki fungsi yaitu untuk mengetahui perubahan kekayaan setiap terjadi transaksi dalam perusahaan serta untuk mengetahui berapa total yang sudah digunakan dan dibelanjakan dalam satu periode akuntansi. Baca selengkapnya contoh soal tes akuntansi untuk calon karyawan. Soal psikotes akuntansi 01 05 sabrintechno 0 comments 1. Calon perangkat desa harus memenuhi persyaratan, yaitu tamat pendidikan minimal. Tes masuk smk jurusan akuntansi. Tes soal akuntansi perusahaan dagang pilihlah salah satu jawaban yang benar 1 syarat pembayaran pemotongan piutang dari karyawan 23 jun 2019 contoh contoh soal tes akuntansi untuk calon karyawan file soal tes dasar akuntansi download as word doc doc docx pdf file.
Meskipun anda sudah tahu bahwa tes psikologi digunakan oleh banyak perusahaan untuk menyeleksi calon karyawan, mungkin anda merasa gugup saat menghadapinya. We are a sharing community. Ini hanya sebagai contoh, dari pelaksanaan salah satu desa pada tahun 2019 dan. Soal akuntansi dan kunci jawabannya, soal tes akuntansi untuk calon karyawan pdf 3 feb 2019 soal test akuntansi document dari harga jual test uji karyawan akuntansi soal tes staff accounting fresh graduate transcript. Unduh sebagai docx pdf txt atau baca online dari scribd soal tes dasar akuntansi abc klinik telah membuka praktek klinik selama 5.
Contoh Soal Tes Akuntansi Untuk Calon Karyawan Dikdasmen from data03.123dok.com Calon pegawai dan karyawan atau pesrta tes diminta untuk menjumlahkan dua angka yang berdekatan dalam waktu tertentu di setiap kolom dan soal psikotes tahun 2018: Soal tes staff accounting fresh graduate. Untuk mengerjakan tes ini, tentu kamu harus mempelajari berbagai perbendaharaan kosakata dan nah, itu dia 8 jenis soal psikotes yang seringkali muncul dalam rekrutmen calon karyawan. Baca selengkapnya contoh soal tes akuntansi untuk calon karyawan. Soal ujian saringan masuk sekolah tinggi akuntansi negara contoh dan jawaban tes kerja bali teacher tertulis bagian administrasi barisan psikotes disc jawabannya kumpulan ilmu. Sekadar berbagi.semoga bermanfaat buat kamu yang butuh informasi ini, yaaaa.have a great day!follow me:instagram: Itulah beberapa contoh soal yang ada pada tes gat, mohon maaf sebelumnya apabila saya tidak dapat menguraikan satu persatu dari sekian banyak nya soal yang ada. Informasi yang anda cari adalah soal tes akuntansi untuk calon karyawan pdf terupdate dan terlengkap bulan april 2019 dari sumber yang terpercaya.
Semakin dekat waktu ujian semakin ada rasa takut tidak lulus tes mungkin seperti itulah yang dirasakan calon mah.
Untuk bisa mencalonkan diri sebagai kepala desa, pendidikan minimal calon kepala desa adalah. Please copy and paste this embed script to where you want to embed. Sekadar berbagi.semoga bermanfaat buat kamu yang butuh informasi ini, yaaaa.have a great day!follow me:instagram: Mklum newbie alhamdulillah diberi kesemptan tes ptpn. So please help us by uploading 1 new document or like us to download Tes potensi akademik tes potensi akademik | tpa “dapatkan kumpulan. Ini hanya sebagai contoh, dari pelaksanaan salah satu desa pada tahun 2019 dan. Unduh sebagai docx pdf txt atau baca online dari scribd soal tes dasar akuntansi abc klinik telah membuka praktek klinik selama 5. Banyak yang mencari contoh soal tes calon kepala desa, dan kami siapkan dalam artikel ini. Calon pegawai dan karyawan atau pesrta tes diminta untuk menjumlahkan dua angka yang berdekatan dalam waktu tertentu di setiap kolom dan soal psikotes tahun 2018: Saat menjalani proses rekrutmen, calon karyawan biasanya harus mengikuti (dan lulus) tes psikologi agar diterima bekerja. Persamaan dasar akuntansi sendiri memiliki fungsi yaitu untuk mengetahui perubahan kekayaan setiap terjadi transaksi dalam perusahaan serta untuk mengetahui berapa total yang sudah digunakan dan dibelanjakan dalam satu periode akuntansi. Itulah beberapa contoh soal yang ada pada tes gat, mohon maaf sebelumnya apabila saya tidak dapat menguraikan satu persatu dari sekian banyak nya soal yang ada.
Dibayar gaji karyawan senilai rp 10.000. Tes potensi akademik tes potensi akademik | tpa “dapatkan kumpulan. Baca selengkapnya contoh soal tes akuntansi untuk calon karyawan. Soal ujian saringan masuk sekolah tinggi akuntansi negara contoh dan jawaban tes kerja bali teacher tertulis bagian administrasi barisan psikotes disc jawabannya kumpulan ilmu. Banyak yang mencari contoh soal tes calon kepala desa, dan kami siapkan dalam artikel ini.
Contoh Soal Tes Akuntansi Untuk Calon Karyawan Dikdasmen from demo.fdokumen.com Meskipun anda sudah tahu bahwa tes psikologi digunakan oleh banyak perusahaan untuk menyeleksi calon karyawan, mungkin anda merasa gugup saat menghadapinya. Please copy and paste this embed script to where you want to embed. Ini hanya sebagai contoh, dari pelaksanaan salah satu desa pada tahun 2019 dan. Semakin dekat waktu ujian semakin ada rasa takut tidak lulus tes mungkin seperti itulah yang dirasakan calon mah. Kali ini saya akan share soal soal akuntansi beserta jawabannya semoga membantu untuk kalian yang sedang belajar akuntansi khususnya dalam penjurnalan dasar akuntansi. Tes soal akuntansi perusahaan dagang pilihlah salah satu jawaban yang benar 1 syarat pembayaran pemotongan piutang dari karyawan 23 jun 2019 contoh contoh soal tes akuntansi untuk calon karyawan file soal tes dasar akuntansi download as word doc doc docx pdf file. Soal psikotes akuntansi 01 05 sabrintechno 0 comments 1. Dibayar gaji karyawan senilai rp 10.000.
Download soal test untuk calon karyawan marketing.
Calon kepala bpd (badan permusyawaratan desa) 11. Bagi calon karyawan jangan menghindari pertanyaan tersebut dengan menjawab saya tidak memiliki kelemahan apa pun. Itulah beberapa contoh soal yang ada pada tes gat, mohon maaf sebelumnya apabila saya tidak dapat menguraikan satu persatu dari sekian banyak nya soal yang ada. Kali ini saya akan share soal soal akuntansi beserta jawabannya semoga membantu untuk kalian yang sedang belajar akuntansi khususnya dalam penjurnalan dasar akuntansi. Banyak yang mencari contoh soal tes calon kepala desa, dan kami siapkan dalam artikel ini. Calon perangkat desa harus memenuhi persyaratan, yaitu tamat pendidikan minimal. 40 soal persamaan dasar akuntansi pemerintah daerah jawaban 2. Unduh sebagai docx pdf txt atau baca online dari scribd soal tes dasar akuntansi abc klinik telah membuka praktek klinik selama 5. We are a sharing community. Home » akuntansi keuangan » 10 contoh soal akuntansi keuangan serta jawabannya. Wawancara calon karyawan merupakan salah satu hal terpenting dalam proses perekrutan karyawan. Soal pilihan ganda tes perangkat desa. Inilah soal tes akuntansi untuk calon karyawan dan jawabannya jurnal khusus adalah jurnal yang di fgunakan untuk memudahkan penginputan data dalam buku besar terdiri atas jurnal penerimaan kas, jurnal segarkan kembali pengetahuan kita soal neraca akuntansi.
Berbagi
Posting Komentar
untuk "Soal Tes Akuntansi Untuk Calon Karyawan - Doc Contoh Soal Dan Jawabannya Jurnal Hingga Neraca Saldo Akuntansi Rika Silviana Academia Edu : Lulus test calon karyawan pimpinan ptpn viii."
Posting Komentar untuk "Soal Tes Akuntansi Untuk Calon Karyawan - Doc Contoh Soal Dan Jawabannya Jurnal Hingga Neraca Saldo Akuntansi Rika Silviana Academia Edu : Lulus test calon karyawan pimpinan ptpn viii."